Temperatura: Escalas de temperatura
La temperatura es una magnitud relacionada con el calor y que se mide con un termómetro. Desde el punto de vista científico, expresiones populares como ''¡Qué calor/frío hace!'' se deben sustituir por ''¡Qué temperatura más elevada/baja hace!''. A continuación, vamos a ver diferentes escalas de temperatura.
Escalas absolutas
Es la escala Kelvin. Establece el cero absoluto (temperatura más baja que se puede obtener) en T(K)=0 K. En esta escala se establece el punto de fusión del agua en T(K)=273 K y la de ebullición del agua en T(K)=373 K.
Escalas relativas
Se relacionan con la escala absoluta (Kelvin) mediante la expresión:

Para obtener el valor de los coeficientes a y b, asignamos dos valores para dos temperaturas concretas (generalmente se elige el punto de fusión y de ebullición del agua a la presión atmosférica, aunque pueden ser otros dos puntos cualesquiera).
Escala Celsius
Se utiliza en casi todos los países del mundo. Se expresa en intervalos iguales ºC (grados centígrados o Celsius). Asigna a la temperatura de fusión del agua (a presión atmosférica) la temperatura (en grados Celsius) T(ºC)=0ºC, y a la temperatura de ebullición (en grados Celsius) T(ºC)=100ºC.
Veamos cómo se pasa desde la escala absoluta a la escala Celsius:

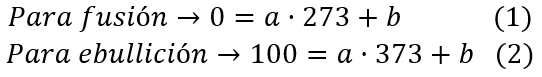
Nos quedará el siguiente sistema de ecuaciones:

Para llegar al sistema de ecuaciones anteriormente descrito hemos tenido en cuenta la fórmula que relaciona la escala Celsius y la escala Kelvin (T(ºC)=aT(K)+b), y hemos sustituido en la expresión, por un lado, para la temperatura de fusión (y relacionamos así la escala Celsius y Kelvin) y, por el otro, para la temperatura de ebullición (y nos queda otra ecuación que relaciona la escala Celsius y la Kelvin).
Así tenemos un sistema de dos ecuaciones con dos incógnitas. Aunque se puede resolver tanto por el método de sustitución, como el de igualación como el de reducción, nosotros optaremos por este último.
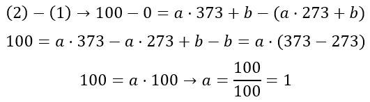
Para ello restaremos a la ecuación (2) (aquella para la temperatura de ebullición) la ecuación (1) (aquella para la temperatura de fusión):

Ya tenemos el valor del coeficiente a; ahora utilizaremos el método de sustitución para hallar el valor del coeficiente b:

Una vez tenemos los coeficientes, los sustituimos en la ecuación que relaciona la escala Celsius con la escala Kelvin, y obtenemos:

Esta última ecuación relaciona la temperatura en grados Celsius con la temperatura absoluta.
Escala Fahrenheit
Aunque es menos común que la escala Celsius, es usada en Estados Unidos, Myanmar y Liberia. Esta escala establece el punto de fusión del agua en 32ºF y la temperatura de ebullición del agua en 212ºF. Establezcamos la equivalencia Kelvin-Fahrenheit con esos datos:

Nos queda el conjunto de ecuaciones:

Una vez tenemos a, utilizamos el método de sustitución en (1) para hallar b:

Nos queda que la expresión que relaciona la escala Kelvin con la escala Fahrenheit es:

Sin embargo, probablemente en la escuela habrán visto únicamente la relación Fahrenheit-Celsius. Hallémosla:

Entonces sustituimos esta última expresión en la relación Fahrenheit-Kelvin, y tenemos:

Esta última expresión es la equivalencia Fahrenheit-Celsius.
